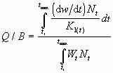
Pauly (1986) introduced the concept of population-based estimates of food consumption (i.e., estimates that account for the age structure of populations), defined by:
...1)
where
Q/B
is the food consumption per unit biomass;
K
and
are parameters of the von Bertalanffy growth equation or VBGF (see ‘Population Dynamics’, this vol.);
is the mean weight at age t predicted by the VBGF, whose derivative (dw/dt) expresses growth rate;
is the gross food conversion efficiency expressed as a function of age t, related to size through the model:
= 1 -
...2)
is the number of survivors of age t in the population exposed to a mortality Z, as predicted from:
=
· exp 
; and ...3)
and
refer to the age of recruitment into and age of exit from the population, respectively (see also Palomares and Pauly 1989).
|
Equation (2) implies = 0 at , i.e., the conversion of food into flesh stops when a fish reaches its asymptotic weight W¥
, and its food intake is used only for maintenance (maintenance Q/B). Note that most published asymptotic size estimates pertain to the length L¥
. A length-weight relationship, represented by the constant b (often set = 3 in the absence of a wide range of L/W data pairs) is then used to relate and (see ‘Population Dynamics’, this vol.).
|
Z = F + M |
Total mortality (Z) as referred to in equation (3) consists of natural mortality (M) + fishing mortality (F). In unexploited populations, where F = 0, all mortality is due to M. Water temperature is another variable affecting fish growth and metabolism and thus food consumption (Palomares and Pauly 1989; Pauly 1989; Palomares 1991). This is considered here through a field for the annual mean environmental (water) temperature, in °
C.
As in the RATION table, choice fields for Food type and Salinity and a text field for Locality are provided. Food type includes choices for the food type involved in the Q/B estimate. The choices are: detritus; plants; zoobenthos; zooplankton; nekton; and others. The choice ‘others’ is used for populations fed dry or moist pellet or other artificial food. The Remarks text field is used for further details.
The habitat type of the population is first established by the type of water body, i.e., seawater, brackish water or freshwater, then by the Locality and Country where it was sampled.
A graph is available which plots Q/B vs. W¥
(see Fig. 40).
A plot of Q/B vs. W¥
is available through the graph button on the upper right corner of the FOOD CONSUMPTION window. This plots all relative food consumption (log Q/B; year–1) and asymptotic weight pairs available for the current species in comparison with those available in FishBase.
|
|
|
 Fig. 40. Relative food consumption of tropical fishes (black dots) compared with that of other species.
|
How to get there |
You get to the POPQB table by clicking on the Biology button in the SPECIES window, the Trophic Ecology button in the BIOLOGY window and the Food consumption button in the TROPHIC ECOLOGY window.
Future development of this table may involve accommodating alternatives to equation (2), as presented in Temming (1994). Also, it is anticipated that sufficient entries of Q/B will become available for generalized relationships to emerge that will go beyond those presented by Pauly (1989) or Palomares (1991).
|
Internet |
On the Internet, you get to the POPQB table by clicking on the Food consumption link in the ‘More information’ section of the ‘Species Summary’ page. You can create a list of all species for which data are available by selecting the Food consum. radio button in the ‘Information by Topic’ section of the ‘Search FishBase’ page.
|
References |
Palomares, M.L.D. 1991. La consommation de nourriture chez les poissons: étude comparative, mise au point d’un modèle predictif et application à l’étude des réseaux trophiques. Ecole Nationale Supérieure, Institut National Polytechnique de Toulouse. 211 p. PhD thesis.
Palomares, M.L. and D. Pauly. 1989. A multiple regression model for predicting the food consumption of marine fish populations. Aust. J. Mar. Freshwat. Res. 40:259-273.
Pauly, D. 1986. A simple method for estimating the food consumption of fish populations from growth data and food conversion experiments. Fish. Bull. 84(4):827-839.
Pauly, D. 1989. Food consumption by tropical and temperate marine fishes: some generalizations. J. Fish Biol. 35 (Supplement A):11-20.
Temming, A. 1994. Food conversion deficiency and the von Bertalanffy growth function. Part I. A modification of Pauly’s model. Naga, ICLARM Q. 17(1):38-39.
Maria Lourdes D. Palomares and Daniel Pauly
|